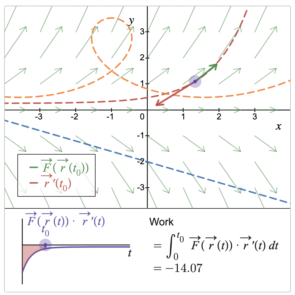
Amplify Classroom Activities & Calculators